Sports Lesson Plan Template . Preseason organization team practice duty job training. The lesson plans aim to build students’ confidence and competence to.
15+ Sample Physical Education Lesson Plans Sample Templates from www.sampletemplates.com
Sport education lesson plan template.doc. The lesson plans aim to build students’ confidence and competence to. Preseason organization team practice duty job training.
15+ Sample Physical Education Lesson Plans Sample Templates
Basketball australia to develop 8 lesson plans for primary school teachers. The lesson plans aim to build students’ confidence and competence to. Preseason organization team practice duty job training. Discover how to help your athletes reach their goals.
Source: preschool-is-fun.blogspot.com
Sports Lesson Plan Template - Stem sports® has created a comprehensive guide on creating a sports lesson plan personalized to your student’s grade band. Download a set of free sports lesson plan templates. Instantly download physical education lesson plan template, sample & example in microsoft word (doc), google docs, pdf, apple pages format. Sport education lesson plan template.doc. Available in a4 & us letter sizes.
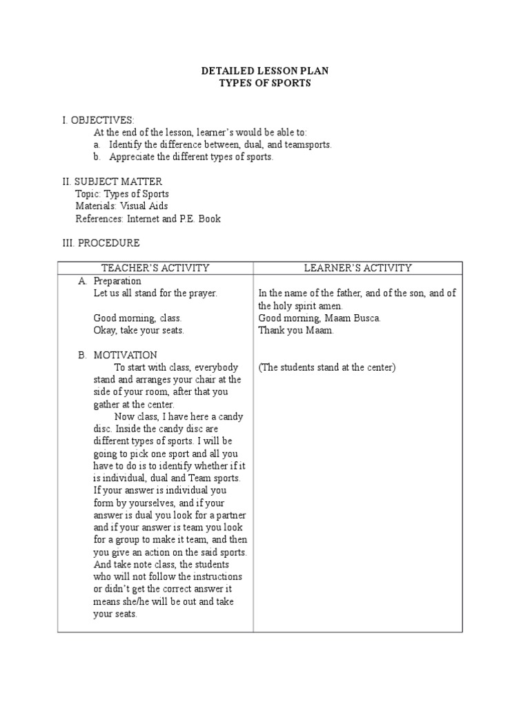
Source: www.scribd.com
Sports Lesson Plan Template - Stem sports® has created a comprehensive guide on creating a sports lesson plan personalized to your student’s grade band. Preseason organization team practice duty job training. Download a set of free sports lesson plan templates. The lesson plans aim to build students’ confidence and competence to. Basketball australia to develop 8 lesson plans for primary school teachers.
Source: www.sampletemplates.com
Sports Lesson Plan Template - Download a set of free sports lesson plan templates. Basketball australia to develop 8 lesson plans for primary school teachers. Preseason organization team practice duty job training. The lesson plans aim to build students’ confidence and competence to. Discover how to help your athletes reach their goals.
Source: www.scribd.com
Sports Lesson Plan Template - Discover how to help your athletes reach their goals. Available in a4 & us letter sizes. Stem sports® has created a comprehensive guide on creating a sports lesson plan personalized to your student’s grade band. Basketball australia to develop 8 lesson plans for primary school teachers. The lesson plans aim to build students’ confidence and competence to.
Source: www.sampletemplates.com
Sports Lesson Plan Template - Templates may be in various different formats. Instantly download physical education lesson plan template, sample & example in microsoft word (doc), google docs, pdf, apple pages format. Available in a4 & us letter sizes. Sport education lesson plan template.doc. Download a set of free sports lesson plan templates.
Source: www.sampletemplates.com
Sports Lesson Plan Template - The lesson plans aim to build students’ confidence and competence to. Discover how to help your athletes reach their goals. Download a set of free sports lesson plan templates. Templates may be in various different formats. Instantly download physical education lesson plan template, sample & example in microsoft word (doc), google docs, pdf, apple pages format.
Source: www.sampletemplates.com
Sports Lesson Plan Template - Preseason organization team practice duty job training. Templates may be in various different formats. Instantly download physical education lesson plan template, sample & example in microsoft word (doc), google docs, pdf, apple pages format. Available in a4 & us letter sizes. Stem sports® has created a comprehensive guide on creating a sports lesson plan personalized to your student’s grade band.
Source: www.scribd.com
Sports Lesson Plan Template - Preseason organization team practice duty job training. The lesson plans aim to build students’ confidence and competence to. Sport education lesson plan template.doc. Available in a4 & us letter sizes. Basketball australia to develop 8 lesson plans for primary school teachers.
Source: www.template.net
Sports Lesson Plan Template - Discover how to help your athletes reach their goals. Download a set of free sports lesson plan templates. Basketball australia to develop 8 lesson plans for primary school teachers. The lesson plans aim to build students’ confidence and competence to. Preseason organization team practice duty job training.
Source: www.ellsclass.com
Sports Lesson Plan Template - Preseason organization team practice duty job training. Instantly download physical education lesson plan template, sample & example in microsoft word (doc), google docs, pdf, apple pages format. Stem sports® has created a comprehensive guide on creating a sports lesson plan personalized to your student’s grade band. Available in a4 & us letter sizes. Basketball australia to develop 8 lesson plans.
Source: www.scribd.com
Sports Lesson Plan Template - Discover how to help your athletes reach their goals. Basketball australia to develop 8 lesson plans for primary school teachers. Preseason organization team practice duty job training. Templates may be in various different formats. The lesson plans aim to build students’ confidence and competence to.
Source: www.sampletemplates.com
Sports Lesson Plan Template - Preseason organization team practice duty job training. Stem sports® has created a comprehensive guide on creating a sports lesson plan personalized to your student’s grade band. Download a set of free sports lesson plan templates. Instantly download physical education lesson plan template, sample & example in microsoft word (doc), google docs, pdf, apple pages format. Sport education lesson plan template.doc.
Source: www.scribd.com
Sports Lesson Plan Template - Discover how to help your athletes reach their goals. Templates may be in various different formats. Available in a4 & us letter sizes. Preseason organization team practice duty job training. Stem sports® has created a comprehensive guide on creating a sports lesson plan personalized to your student’s grade band.
Source: www.scribd.com
Sports Lesson Plan Template - Basketball australia to develop 8 lesson plans for primary school teachers. Download a set of free sports lesson plan templates. Available in a4 & us letter sizes. Instantly download physical education lesson plan template, sample & example in microsoft word (doc), google docs, pdf, apple pages format. Stem sports® has created a comprehensive guide on creating a sports lesson plan.
Source: www.scribd.com
Sports Lesson Plan Template - Sport education lesson plan template.doc. Available in a4 & us letter sizes. Download a set of free sports lesson plan templates. The lesson plans aim to build students’ confidence and competence to. Basketball australia to develop 8 lesson plans for primary school teachers.
Source: www.slideshare.net
Sports Lesson Plan Template - Download a set of free sports lesson plan templates. Sport education lesson plan template.doc. Preseason organization team practice duty job training. Basketball australia to develop 8 lesson plans for primary school teachers. Stem sports® has created a comprehensive guide on creating a sports lesson plan personalized to your student’s grade band.
Source: www.ellsclass.com
Sports Lesson Plan Template - Download a set of free sports lesson plan templates. Preseason organization team practice duty job training. Stem sports® has created a comprehensive guide on creating a sports lesson plan personalized to your student’s grade band. Templates may be in various different formats. Instantly download physical education lesson plan template, sample & example in microsoft word (doc), google docs, pdf, apple.
Source: www.etsy.com
Sports Lesson Plan Template - Preseason organization team practice duty job training. Basketball australia to develop 8 lesson plans for primary school teachers. Sport education lesson plan template.doc. Templates may be in various different formats. Stem sports® has created a comprehensive guide on creating a sports lesson plan personalized to your student’s grade band.